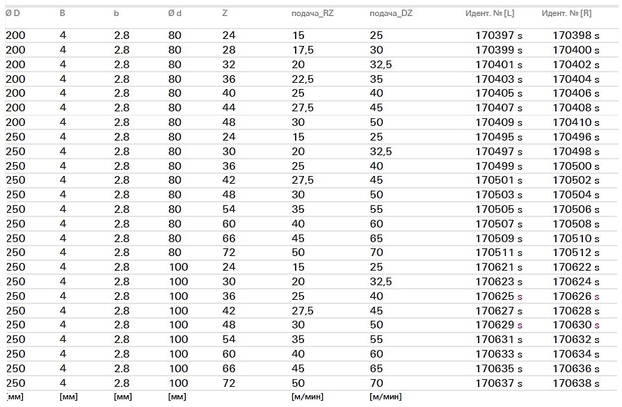
Алмазные форматные дисковые пилы Leuco для сегментных дробителей
Область применения: - универсальные двусторонние форматно-обрезные профильные станки;
- станки для обработки кромок;
- для форматирования без сколов древесно-стружечных материалов необработанных, с меламиновым и бумажным покрытием, с покрытием из слоистого пластика HPL и шпонированных.
Конструктивное исполнение:
- форма зуба пилы: одностороннeкосой с фаской и осевым углом "ES-FA";
- пила с равномерным шагом зубьев;
- зона заточки 4 мм; возможность заточки по боковым сторонам зубьев.

производитель
LEUCO
Если вы хотите купить алмазные форматные дисковые пилы Leuco для сегментных дробителей , вы можете:
Позвонить: